Содержание

Оглавление:
  I. Принцип построения вычислительных сетей
  II. Основы передачи данных
  III. Базовые технологии локальных сетей
  IV. Построение локальных сетей
  V. Построение больших сетей
  VI. Глобальные сети
  VII. Средства анализа и управления сетями

Дополнительно:
  Заключение
  Список литературы
Компьютерные сети

Глава I.
Принцип построения вычислительных сетей


1.3. Понятие «открытая система» и проблемы стандартизации

Универсальный тезис о пользе стандартизации, справедливый для всех отраслей, в компьютерных сетях приобретает особое значение. Суть сети - это соединение разного оборудования, а значит, проблема совместимости является одной из наиболее острых. Без принятия всеми производителями общепринятых правил построения оборудования прогресс в деле «строительства» сетей был бы невозможен. Поэтому все развитие компьютерной отрасли в конечном счете отражено в стандартах - любая новая технология только тогда приобретает «законный» статус, когда ее содержание закрепляется в соответствующем стандарте.

В компьютерных сетях идеологической основой стандартизации является многоуровневый подход к разработке средств сетевого взаимодействия. Именно на основе этого подхода была разработана стандартная семиуровневая модель взаимодействия открытых систем, ставшая своего рода универсальным языком сетевых специалистов.

1.3.1. Многоуровневый подход. Протокол. Интерфейс. Стек протоколов

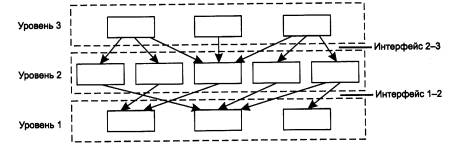
Организация взаимодействия между устройствами в сети является сложной задачей. Как известно, для решения сложных задач используется универсальный прием - декомпозиция, то есть разбиение одной сложной задачи на несколько более простых задач-модулей (рис. 1.20). Процедура декомпозиции включает в себя четкое определение функций каждого модуля, решающего отдельную задачу, и интерфейсов между ними. В результате достигается логическое упрощение задачи, а кроме того, появляется возможность модификации отдельных модулей без изменения остальной части системы.

Рис. 1.20. Пример декомпозиции задачи

При декомпозиции часто используют многоуровневый подход. Он заключается в следующем. Все множество модулей разбивают на уровни. Уровни образуют иерархию, то есть имеются вышележащие и нижележащие уровни (рис. 1.21). Множество модулей, составляющих каждый уровень, сформировано таким образом, что для выполнения своих задач они обращаются с запросами только к модулям непосредственно примыкающего нижележащего уровня. С другой стороны, результаты работы всех модулей, принадлежащих некоторому уровню, могут быть переданы только модулям соседнего вышележащего уровня. Такая иерархическая декомпозиция задачи предполагает четкое определение функции каждого уровня и интерфейсов между уровнями. Интерфейс определяет набор функций, которые нижележащий уровень предоставляет вышележащему. В результате иерархической декомпозиции достигается относительная независимость уровней, а значит, и возможность их легкой замены.

Рис. 1.21. Многоуровневый подход - создание иерархии задач

Средства сетевого взаимодействия, конечно, тоже могут быть представлены в виде иерархически организованного множества модулей. При этом модули нижнего уровня могут, например, решать все вопросы, связанные с надежной передачей электрических сигналов между двумя соседними узлами. Модули более высокого уровня организуют транспортировку сообщений в пределах всей сети, пользуясь для этого средствами упомянутого нижележащего уровня. А на верхнем уровне работают модули, предоставляющие пользователям доступ к различным службам - файловой, печати и т. п. Конечно, это только один из множества возможных вариантов деления общей задачи организации сетевого взаимодействия на частные подзадачи.

Многоуровневый подход к описанию и реализации функций системы применяется не только в отношении сетевых средств. Такая модель функционирования используется, например, в локальных файловых системах, когда поступивший запрос на доступ к файлу последовательно обрабатывается несколькими программными уровнями (рис. 1.22). Запрос вначале анализируется верхним уровнем, на котором осуществляется последовательный разбор составного символьного имени файла и определение уникального идентификатора файла. Следующий уровень находит по уникальному имени все основные характеристики файла: адрес, атрибуты доступа и т. п. Затем на более низком уровне осуществляется проверка прав доступа к этому файлу, а далее, после расчета координат области файла, содержащей требуемые данные, выполняется физический обмен с внешним устройством с помощью драйвера диска.

Рис. 1.22. Многоуровневая модель файловой системы

Многоуровневое представление средств сетевого взаимодействия имеет свою специфику, связанную с тем, что в процессе обмена сообщениями участвуют две машины, то есть в данном случае необходимо организовать согласованную работу двух «иерархий». При передаче сообщений оба участника сетевого обмена должны принять множество соглашений. Например, они должны согласовать уровни и форму электрических сигналов, способ определения длины сообщений, договориться о методах контроля достоверности и т. п. Другими словами, соглашения должны быть приняты для всех уровней, начиная от самого низкого - уровня передачи битов - до самого высокого, реализующего сервис для пользователей сети.

На рис. 1.23 показана модель взаимодействия двух узлов. С каждой стороны средства взаимодействия представлены четырьмя уровнями. Процедура взаимодействия этих двух узлов может быть описана в виде набора правил взаимодействия каждой пары соответствующих уровней обеих участвующих сторон. Формализованные правила, определяющие последовательность и формат сообщений, которыми обмениваются сетевые компоненты, лежащие на одном уровне, но в разных узлах, называются протоколом.

Рис. 1.23. Взаимодействие двух узлов

Модули, реализующие протоколы соседних уровней и находящиеся в одном узле, также взаимодействуют друг с другом в соответствии с четко определенными правилами и с помощью стандартизованных форматов сообщений. Эти правила принято называть интерфейсом. Интерфейс определяет набор сервисов, предоставляемый данным уровнем соседнему уровню. В сущности, протокол и интерфейс выражают одно и то же понятие, но традиционно в сетях за ними закрепили разные области действия: протоколы определяют правила взаимодействия модулей одного уровня в разных узлах, а интерфейсы - модулей соседних уровней в одном узле.

Средства каждого уровня должны отрабатывать, во-первых, свой собственный протокол, а во-вторых, интерфейсы с соседними уровнями.

Иерархически организованный набор протоколов, достаточный для организации взаимодействия узлов в сети, называется стеком коммуникационных протоколов.

Коммуникационные протоколы могут быть реализованы как программно, так и аппаратно. Протоколы нижних уровней часто реализуются комбинацией программных и аппаратных средств, а протоколы верхних уровней - как правило, чисто программными средствами.

Программный модуль, реализующий некоторый протокол, часто для краткости также называют «протоколом». При этом соотношение между протоколом - формально определенной процедурой и протоколом - программным модулем, реализующим эту процедуру, аналогично соотношению между алгоритмом решения некоторой задачи и программой, решающей эту задачу.

Понятно, что один и тот же алгоритм может быть запрограммирован с разной степенью эффективности. Точно так же и протокол может иметь несколько программных реализации. Именно поэтому при сравнении протоколов следует учитывать не только логику их работы, но и качество программных решений. Более того, на эффективность взаимодействия устройств в сети влияет качество всей совокупности протоколов, составляющих стек, в частности, насколько рационально распределены функции между протоколами разных уровней и насколько хорошо определены интерфейсы между ними.

Протоколы реализуются не только компьютерами, но и другими сетевыми устройствами - концентраторами, мостами, коммутаторами, маршрутизаторами и т. д. Действительно, в общем случае связь компьютеров в сети осуществляется не напрямую, а через различные коммуникационные устройства. В зависимости от типа устройства в нем должны быть встроенные средства, реализующие тот или иной набор протоколов.

Чтобы еще раз пояснить понятия «протокол» и «интерфейс», рассмотрим пример, не имеющий отношения к вычислительным сетям, а именно обсудим взаимодействие двух предприятий А и В; связанных между собой деловым сотрудничеством. Между предприятиями существуют многочисленные договоренности и соглашения, такие, например, как регулярные поставки продукции одного предприятия другому. В соответствии с этой договоренностью начальник отдела продаж предприятия А регулярно в начале каждого месяца посылает официальное сообщение начальнику отдела закупок предприятия В о том, сколько и какого товара может быть поставлено в этом месяце. В ответ на это сообщение начальник отдела закупок предприятия В посылает в ответ заявку установленного образца на требуемое количество продукции. Возможно, процедура взаимодействия этих начальников включает дополнительные согласования, в любом случае существует установленный порядок взаимодействия, который можно считать «протоколом уровня начальников». Начальники посылают свои сообщения и заявки через своих секретарей. Порядок взаимодействия начальника и секретаря соответствует понятию межуровневого интерфейса «начальник - секретарь». На предприятии А обмен документами между начальником и секретарем идет через специальную папку, а на предприятии В начальник общается с секретарем по факсу. Таким образом, интерфейсы «начальник - секретарь» на этих двух предприятиях отличаются.

После того как сообщения переданы секретарям, начальников не волнует, каким образом эти сообщения будут перемещаться дальше - обычной или электронной почтой, факсом или нарочным. Выбор способа передачи - это уровень компетенции секретарей, они могут решать этот вопрос, не уведомляя об этом своих начальников, так как их протокол взаимодействия связан только с передачей сообщений, поступающих сверху, и не касается содержания этих сообщений. На рис. 1.24 показано, что в качестве протокола взаимодействия «секретарь-секретарь» используется обмен письмами. При решении других вопросов начальники могут взаимодействовать по другим правилам-протоколам, но это не повлияет на работу секретарей, для которых не важно, какие сообщения отправлять, а важно, чтобы они дошли до адресата. Итак, в данном случае мы имеем дело с двумя уровнями - уровнем начальников и уровнем секретарей, и каждый из них имеет собственный протокол, который может быть изменен независимо от протокола другого уровня. Эта независимость протоколов друг от друга и делает привлекательным многоуровневый подход.

Рис. 1.24. Пример многоуровневого взаимодействия предприятий

1.3.2. Модель OSI

Из того, что протокол является соглашением, принятым двумя взаимодействующими объектами, в данном случае двумя работающими в сети компьютерами, совсем не следует, что он обязательно является стандартным. Но на практике при реализации сетей стремятся использовать стандартные протоколы. Это могут быть фирменные, национальные или международные стандарты.

В начале 80-х годов ряд международных организаций по стандартизации - ISO, ITU-T и некоторые другие - разработали модель, которая сыграла значительную роль в развитии сетей. Эта модель называется моделью взаимодействия открытых систем (Open System Interconnection, OSI) или моделью OSI. Модель OSI определяет различные уровни взаимодействия систем, дает им стандартные имена и указывает, какие функции должен выполнять каждый уровень. Модель OSI была разработана на основании большого опыта, полученного при создании компьютерных сетей, в основном глобальных, в 70-е годы. Полное описание этой модели занимает более 1000 страниц текста.

В модели OSI (рис. 1.25) средства взаимодействия делятся на семь уровней: прикладной, представительный, сеансовый, транспортный, сетевой, канальный и физический. Каждый уровень имеет дело с одним определенным аспектом взаимодействия сетевых устройств.

Рис. 1.25. Модель взаимодействия открытых систем ISO/OSI

Модель OSI описывает только системные средства взаимодействия, реализуемые операционной системой, системными утилитами, системными аппаратными средствами. Модель не включает средства взаимодействия приложений конечных пользователей. Свои собственные протоколы взаимодействия приложения реализуют, обращаясь к системным средствам. Поэтому необходимо различать уровень взаимодействия приложений и прикладной уровень.

Следует также иметь в виду, что приложение может взять на себя функции некоторых верхних уровней модели OSI. Например, некоторые СУБД имеют встроенные средства удаленного доступа к файлам. В этом случае приложение, выполняя доступ к удаленным ресурсам, не использует системную файловую службу; оно обходит верхние уровни модели OSI и обращается напрямую к системным средствам, ответственным за транспортировку сообщений по сети, которые располагаются на нижних уровнях модели OSI.

Итак, пусть приложение обращается с запросом к прикладному уровню, например к файловой службе. На основании этого запроса программное обеспечение прикладного уровня формирует сообщение стандартного формата. Обычное сообщение состоит из заголовка и поля данных. Заголовок содержит служебную информацию, которую необходимо передать через сеть прикладному уровню машины-адресата, чтобы сообщить ему, какую работу надо выполнить. В нашем случае заголовок, очевидно, должен содержать информацию о месте нахождения файла и о типе операции, которую необходимо над ним выполнить. Поле данных сообщения может быть пустым или содержать какие-либо данные, например те, которые необходимо записать в удаленный файл. Но для того чтобы доставить эту информацию по назначению, предстоит решить еще много задач, ответственность за которые несут нижележащие уровни.

После формирования сообщения прикладной уровень направляет его вниз по стеку представительному уровню. Протокол представительного уровня на основании информации, полученной из заголовка прикладного уровня, выполняет требуемые действия и добавляет к сообщению собственную служебную информацию - заголовок представительного уровня, в котором содержатся указания для протокола представительного уровня машины-адресата. Полученное в результате сообщение передается вниз сеансовому уровню, который в свою очередь добавляет свой заголовок, и т. д. (Некоторые реализации протоколов помещают служебную информацию не только в начале сообщения в виде заголовка, но и в конце, в виде так называемого «концевика».) Наконец, сообщение достигает нижнего, физического уровня, который собственно и передает его по линиям связи машине-адресату. К этому моменту сообщение «обрастает» заголовками всех уровней (рис. 1.26).

Рис. 1.26. Вложенность сообщений различных уровней

Когда сообщение по сети поступает на машину - адресат, оно принимается ее физическим уровнем и последовательно перемещается вверх с уровня на уровень. Каждый уровень анализирует и обрабатывает заголовок своего уровня, выполняя соответствующие данному уровню функции, а затем удаляет этот заголовок и передает сообщение вышележащему уровню.

Наряду с термином сообщение (message) существуют и другие термины, применяемые сетевыми специалистами для обозначения единиц данных в процедурах обмена. В стандартах ISO для обозначения единиц данных, с которыми имеют дело протоколы разных уровней, используется общее название протокольный блок данных (Protocol Data Unit, PDU). Для обозначения блоков данных определенных уровней-часто используются специальные названия: кадр (frame), пакет (packet), дейтаграмма (datagram), сегмент (segment).

В модели OSI различаются два основных типа протоколов. В протоколах с установлением соединения (connection-oriented) перед обменом данными отправитель и получатель должны сначала установить соединение и, возможно, выбрать некоторые параметры протокола, которые они будут использовать при обмене данными. После завершения диалога они должны разорвать это соединение. Телефон - это пример взаимодействия, основанного на установлении соединения.

Вторая группа протоколов - протоколы без предварительного установления соединения (connectionless). Такие протоколы называются также дейтаграммными протоколами. Отправитель просто передает сообщение, когда оно готово. Опускание письма в почтовый ящик - это пример связи без предварительного установления соединения. При взаимодействии компьютеров используются протоколы обоих типов.

1.3.3. Уровни модели OSI

Физический уровень

Физический уровень (Physical layer) имеет дело с передачей битов по физическим каналам связи, таким, например, как коаксиальный кабель, витая пара, оптоволоконный кабель или цифровой территориальный канал. К этому уровню имеют отношение характеристики физических сред передачи данных, такие как полоса пропускания, помехозащищенность, волновое сопротивление и другие. На этом же уровне определяются характеристики электрических сигналов, передающих дискретную информацию, например, крутизна фронтов импульсов, уровни напряжения или тока передаваемого сигнала, тип кодирования, скорость передачи сигналов. Кроме этого, здесь стандартизуются типы разъемов и назначение каждого контакта.

Функции физического уровня реализуются во всех устройствах, подключенных к сети. Со стороны компьютера функции физического уровня выполняются сетевым адаптером или последовательным портом.

Примером протокола физического уровня может служить спецификация l0-Base-T технологии Ethernet, которая определяет в качестве используемого кабеля неэкранированную витую пару категории 3 с волновым сопротивлением 100 Ом, разъем RJ-45, максимальную длину физического сегмента 100 метров, манчестерский код для представления данных в кабеле, а также некоторые другие характеристики среды и электрических сигналов.

Канальный уровень

На физическом уровне просто пересылаются биты. При этом не учитывается, что в некоторых сетях, в которых линии связи используются (разделяются) попеременно несколькими парами взаимодействующих компьютеров, физическая среда передачи может быть занята. Поэтому одной из задач канального уровня (Data Link layer) является проверка доступности среды передачи. Другой задачей канального уровня является реализация механизмов обнаружения и коррекции ошибок. Для этого на канальном уровне биты группируются в наборы, называемые кадрами (frames). Канальный уровень обеспечивает корректность передачи каждого кадра, помещая специальную последовательность бит в начало и конец каждого кадра, для его выделения, а также вычисляет контрольную сумму, обрабатывая все байты кадра определенным способом и добавляя контрольную сумму к кадру. Когда кадр приходит по сети, получатель снова вычисляет контрольную сумму полученных данных и сравнивает результат с контрольной суммой из кадра. Если они совпадают, кадр считается правильным и принимается. Если же контрольные суммы не совпадают, то фиксируется ошибка. Канальный уровень может не только обнаруживать ошибки, но и исправлять их за счет повторной передачи поврежденных кадров. Необходимо отметить, что функция исправления ошибок не является обязательной для канального уровня, поэтому в некоторых протоколах этого уровня она отсутствует, например, в Ethernet и frame relay.

В протоколах канального уровня, используемых в локальных сетях, заложена определенная структура связей между компьютерами и способы их адресации. Хотя канальный уровень и обеспечивает доставку кадра между любыми двумя узлами локальной сети, он это делает только в сети с совершенно определенной топологией связей, именно той топологией, для которой он был разработан. К таким типовым топологиям, поддерживаемым протоколами канального уровня локальных сетей, относятся общая шина, кольцо и звезда, а также структуры, полученные из них с помощью мостов и коммутаторов. Примерами протоколов канального уровня являются протоколы Ethernet, Token Ring, FDDI, l00VG-AnyLAN.

В локальных сетях протоколы канального уровня используются компьютерами, мостами, коммутаторами и маршрутизаторами. В компьютерах функции канального уровня реализуются совместными усилиями сетевых адаптеров и их драйверов.

В глобальных сетях, которые редко обладают регулярной топологией, канальный уровень часто обеспечивает обмен сообщениями только между двумя соседними компьютерами, соединенными индивидуальной линией связи. Примерами протоколов «точка-точка» (как часто называют такие протоколы) могут служить широко распространенные протоколы РРР и LAP-B. В таких случаях для доставки сообщений между конечными узлами через всю сеть используются средства сетевого уровня. Именно так организованы сети Х.25. Иногда в глобальных сетях функции канального уровня в чистом виде выделить трудно, так как в одном и том же протоколе они объединяются с функциями сетевого уровня. Примерами такого подхода могут служить протоколы технологий АТМ и frame relay.

В целом канальный уровень представляет собой весьма мощный и законченный набор функций по пересылке сообщений между узлами сети. В некоторых случаях протоколы канального уровня оказываются самодостаточными транспортными средствами и могут допускать работу поверх них непосредственно протоколов прикладного уровня или приложений, без привлечения средств сетевого и транспортного уровней. Например, существует реализация протокола управления сетью SNMP непосредственно поверх Ethernet, хотя стандартно этот протокол работает поверх сетевого протокола IP и транспортного протокола UDP. Естественно, что применение такой реализации будет ограниченным - она не подходит для составных сетей разных технологий, например Ethernet и Х.25, и даже для такой сети, в которой во всех сегментах применяется Ethernet, но между сегментами существуют петлевид-ные связи. А вот в двухсегментной сети Ethernet, объединенной мостом, реализация SNMP над канальным уровнем будет вполне работоспособна.

Тем не менее для обеспечения качественной транспортировки сообщений в сетях любых топологий и технологий функций канального уровня оказывается недостаточно, поэтому в модели OSI решение этой задачи возлагается на два следующих уровня - сетевой и транспортный.

Сетевой уровень

Сетевой уровень (Network layer) служит для образования единой транспортной системы, объединяющей несколько сетей, причем эти сети могут использовать совершенно различные принципы передачи сообщений между конечными узлами и обладать произвольной структурой связей. Функции сетевого уровня достаточно разнообразны. Начнем их рассмотрение на примере объединения локальных сетей.

Протоколы канального уровня локальных сетей обеспечивают доставку данных между любыми узлами только в сети с соответствующей типовой топологией, например топологией иерархической звезды. Это очень жесткое ограничение, которое не позволяет строить сети с развитой структурой, например, сети, объединяющие несколько сетей предприятия в единую сеть, или высоконадежные сети, в которых существуют избыточные связи между узлами. Можно было бы усложнять протоколы канального уровня для поддержания петлевидных избыточных связей, но принцип разделения обязанностей между уровнями приводит к другому решению. Чтобы с одной стороны сохранить простоту процедур передачи данных для типовых топологий, а с другой допустить использование произвольных топологий, вводится дополнительный сетевой уровень.

На сетевом уровне сам термин сеть наделяют специфическим значением. В данном случае под сетью понимается совокупность компьютеров, соединенных между собой в соответствии с одной из стандартных типовых топологий и использующих для передачи данных один из протоколов канального уровня, определенный для этой топологии.

Внутри сети доставка данных обеспечивается соответствующим канальным уровнем, а вот доставкой данных между сетями занимается сетевой уровень, который и поддерживает возможность правильного выбора маршрута передачи сообщения даже в том случае, когда структура связей между составляющими сетями имеет характер, отличный от принятого в протоколах канального уровня. Сети соединяются между собой специальными устройствами, называемыми маршрутизаторами. Маршрутизатор - это устройство, которое собирает информацию о топологии межсетевых соединений и на ее основании пересылает пакеты сетевого уровня в сеть назначения. Чтобы передать сообщение от отправителя, находящегося в одной сети, получателю, находящемуся в другой сети, нужно совершить некоторое количество транзитных передач между сетями, или хопов (от hop - прыжок), каждый раз выбирая подходящий маршрут. Таким образом, маршрут представляет собой последовательность маршрутизаторов, через которые проходит пакет.

На рис. 1.27 показаны четыре сети, связанные тремя маршрутизаторами. Между узлами А и В данной сети пролегают два маршрута: первый через маршрутизаторы 1 и 3, а второй через маршрутизаторы 1, 2 и 3.

Рис. 1.27. Пример составной сети

Проблема выбора наилучшего пути называется маршрутизацией, и ее решение является одной из главных задач сетевого уровня. Эта проблема осложняется тем, что самый короткий путь не всегда самый лучший. Часто критерием при выборе маршрута является время передачи данных по этому маршруту; оно зависит от пропускной способности каналов связи и интенсивности трафика, которая может изменяться с течением времени. Некоторые алгоритмы маршрутизации пытаются приспособиться к изменению нагрузки, в то время как другие принимают решения на основе средних показателей за длительное время. Выбор маршрута может осуществляться и по другим критериям, например надежности передачи.

В общем случае функции сетевого уровня шире, чем функции передачи сообщений по связям с нестандартной структурой, которые мы сейчас рассмотрели на примере объединения нескольких локальных сетей. Сетевой уровень решает также задачи согласования разных технологий, упрощения адресации в крупных сетях и создания надежных и гибких барьеров на пути нежелательного трафика между сетями.

Сообщения сетевого уровня принято называть пакетами (packets). При организации доставки пакетов на сетевом уровне используется понятие «номер сети». В этом случае адрес получателя состоит из старшей части - номера сети и младшей - номера узла в этой сети. Все узлы одной сети должны иметь одну и ту же старшую часть адреса, поэтому термину «сеть» на сетевом уровне можно дать и другое, более формальное определение: сеть - это совокупность узлов, сетевой адрес которых содержит один и тот же номер сети.

На сетевом уровне определяются два вида протоколов. Первый вид - сетевые протоколы (routed protocols) - реализуют продвижение пакетов через сеть. Именно эти протоколы обычно имеют в виду, когда говорят о протоколах сетевого уровня. Однако часто к сетевому уровню относят и другой вид протоколов, называемых протоколами обмена маршрутной информацией или просто протоколами маршрутизации (routing protocols). С помощью этих протоколов маршрутизаторы собирают информацию о топологии межсетевых соединений. Протоколы сетевого уровня реализуются программными модулями операционной системы, а также программными и аппаратными средствами маршрутизаторов.

На сетевом уровне работают протоколы еще одного типа, которые отвечают за отображение адреса узла, используемого на сетевом уровне, в локальный адрес сети. Такие протоколы часто называют протоколами разрешения адресов - Address Resolution Protocol, ARP. Иногда их относят не к сетевому уровню, а к канальному, хотя тонкости классификации не изменяют их сути. Примерами протоколов сетевого уровня являются протокол межсетевого взаимодействия IP стека TCP/IP и протокол межсетевого обмена пакетами IPX стека Novell.

Транспортный уровень

На пути от отправителя к получателю пакеты могут быть искажены или утеряны. Хотя некоторые приложения имеют собственные средства обработки ошибок, существуют и такие, которые предпочитают сразу иметь дело с надежным соединением. Транспортный уровень (Transport layer) обеспечивает приложениям или верхним уровням стека - прикладному и сеансовому - передачу данных с той степенью надежности, которая им требуется. Модель OSI определяет пять классов сервиса, предоставляемых транспортным уровнем. Эти виды сервиса отличаются качеством предоставляемых услуг: срочностью, возможностью восстановления прерванной связи, наличием средств мультиплексирования нескольких соединений между различными прикладными протоколами через общий транспортный протокол, а главное - способностью к обнаружению и исправлению ошибок передачи, таких как искажение, потеря и дублирование пакетов.

Выбор класса сервиса транспортного уровня определяется, с одной стороны, тем, в какой степени задача обеспечения надежности решается самими приложениями и протоколами более высоких, чем транспортный, уровней, а с другой стороны, этот выбор зависит от того, насколько надежной является система транспортировки данных в сети, обеспечиваемая уровнями, расположенными ниже транспортного - сетевым, канальным и физическим. Так, например, если качество каналов передачи связи очень высокое и вероятность возникновения ошибок, не обнаруженных протоколами более низких уровней, невелика, то разумно воспользоваться одним из облегченных сервисов транспортного уровня, не обремененных многочисленными проверками, квитированием и другими приемами повышения надежности. Если же транспортные средства нижних уровней изначально очень ненадежны, то целесообразно обратиться к наиболее развитому сервису транспортного уровня, который работает, используя максимум средств для обнаружения и устранения ошибок, - с помощью предварительного установления логического соединения, контроля доставки сообщений по контрольным суммам и циклической нумерации пакетов, установления тайм-аутов доставки и т. п.

Как правило, все протоколы, начиная с транспортного уровня и выше, реализуются программными средствами конечных узлов сети - компонентами их сетевых операционных систем. В качестве примера транспортных протоколов можно привести протоколы TCP и UDP стека TCP/IP и протокол SPX стека Novell. Протоколы нижних четырех уровней обобщенно называют сетевым транспортом или транспортной подсистемой, так как они полностью решают задачу транспортировки сообщений с заданным уровнем качества в составных сетях с произвольной топологией и различными технологиями. Остальные три верхних уровня решают задачи предоставления прикладных сервисов на основании имеющейся транспортной подсистемы.

Сеансовый уровень

Сеансовый уровень (Session layer) обеспечивает управление диалогом: фиксирует, какая из сторон является активной в настоящий момент, предоставляет средства синхронизации. Последние позволяют вставлять контрольные точки в длинные передачи, чтобы в случае отказа можно было вернуться назад к последней контрольной точке, а не начинать все с начала. На практике немногие приложения используют сеансовый уровень, и он редко реализуется в виде отдельных протоколов, хотя функции этого уровня часто объединяют с функциями прикладного уровня и реализуют в одном протоколе.

Представительный уровень

Представительный уровень (Presentation layer) имеет дело с формой представления передаваемой по сети информации, не меняя при этом ее содержания. За счет уровня представления информация, передаваемая прикладным уровнем одной системы, всегда понятна прикладному уровню другой системы. С помощью средств данного уровня протоколы прикладных уровней могут преодолеть синтаксические различия в представлении данных или же различия в кодах символов, например кодов ASCII и EBCDIC. На этом уровне может выполняться шифрование и дешифрование данных, благодаря которому секретность обмена данными обеспечивается сразу для всех прикладных служб. Примером такого протокола является протокол Secure Socket Layer (SSL), который обеспечивает секретный обмен сообщениями для протоколов прикладного уровня стека TCP/IP.

Прикладной уровень

Прикладной уровень (Application layer) - это в действительности просто набор разнообразных протоколов, с помощью которых пользователи сети получают доступ к разделяемым ресурсам, таким как файлы, принтеры или гипертекстовые Web-страницы, а также организуют свою совместную работу, например, с помощью протокола электронной почты. Единица данных, которой оперирует прикладной уровень, обычно называется сообщением (message).

Существует очень большое разнообразие служб прикладного уровня. Приведем в качестве примера хотя бы несколько наиболее распространенных реализации файловых служб: NCP в операционной системе Novell NetWare, SMB в Microsoft Windows NT, NFS, FTP и TFTP, входящие в стек TCP/IP.

Сетезависимые и сетенезависимые уровни

Функции всех уровней модели OSI могут быть отнесены к одной из двух групп: либо к функциям, зависящим от конкретной технической реализации сети, либо к функциям, ориентированным на работу с приложениями.

Три нижних уровня - физический, канальный и сетевой - являются сетезависимыми, то есть протоколы этих уровней тесно связаны с технической реализацией сети и используемым коммуникационным оборудованием. Например, переход на оборудование FDDI означает полную смену протоколов физического и канального уровней во всех узлах сети.

Три верхних уровня - прикладной, представительный и сеансовый - ориентированы на приложения и мало зависят от технических особенностей построения сети. На протоколы этих уровней не влияют какие бы то ни было изменения в топологии сети, замена оборудования или переход на другую сетевую технологию. Так, переход от Ethernet на высокоскоростную технологию l00VG-AnyLAN не потребует никаких изменений в программных средствах, реализующих функции прикладного, представительного и сеансового уровней.

Транспортный уровень является промежуточным, он скрывает все детали функционирования нижних уровней от верхних. Это позволяет разрабатывать приложения, не зависящие от технических средств непосредственной транспортировки сообщений. На рис. 1.28 показаны уровни модели OSI, на которых работают различные элементы сети. Компьютер с установленной на нем сетевой ОС взаимодействует с другим компьютером с помощью протоколов всех семи уровней. Это взаимодействие компьютеры осуществляют опосредовано через различные коммуникационные устройства: концентраторы, модемы, мосты, коммутаторы, маршрутизаторы, мультиплексоры. В зависимости от типа коммуникационное устройство может работать либо только на физическом уровне (повторитель), либо на физическом и канальном (мост), либо на физическом, канальном и сетевом, иногда захватывая и транспортный уровень (маршрутизатор). На рис. 1.29 показано соответствие функций различных коммуникационных устройств уровням модели OSI.

Рис. 1.28. Сетезависимые и сетенезависимые уровни модели OSI

Рис.1.29. Соответствие функций различных устройств сети уровням модели OSI

Модель OSI представляет хотя и очень важную, но только одну из многих моделей коммуникаций. Эти модели и связанные с ними стеки протоколов могут отличаться количеством уровней, их функциями, форматами сообщений, службами, поддерживаемыми на верхних уровнях, и прочими параметрами.

1.3.4. Понятие «открытая система»

Модель OSI, как это следует из ее названия (Open System Interconnection), описывает взаимосвязи открытых систем. Что же такое открытая система?

В широком смысле открытой системой может быть названа любая система (компьютер, вычислительная сеть, ОС, программный пакет, другие аппаратные и программные продукты), которая построена в соответствии с открытыми спецификациями.

Напомним, что под термином «спецификация» (в вычислительной технике) понимают формализованное описание аппаратных или программных компонентов, способов их функционирования, взаимодействия с другими компонентами, условий эксплуатации, ограничений и особых характеристик. Понятно, что не всякая спецификация является стандартом. В свою очередь, под открытыми спецификациями понимаются опубликованные, общедоступные спецификации, соответствующие стандартам и принятые в результате достижения согласия после всестороннего обсуждения всеми заинтересованными сторонами.

Использование при разработке систем открытых спецификаций позволяет третьим сторонам разрабатывать для этих систем различные аппаратные или программные средства расширения и модификации, а также создавать программно-аппаратные комплексы из продуктов разных производителей.

Для реальных систем полная открытость является недостижимым идеалом. Как правило, даже в системах, называемых открытыми, этому определению соответствуют лишь некоторые части, поддерживающие внешние интерфейсы. Например, открытость семейства операционных систем Unix заключается, кроме всего прочего, в наличии стандартизованного программного интерфейса между ядром и приложениями, что позволяет легко переносить приложения из среды одной версии Unix в среду другой версии. Еще одним примером частичной открытости является применение в достаточно закрытой операционной системе Novell NetWare открытого интерфейса Open Driver Interface (ODI) для включения в систему драйверов сетевых адаптеров независимых производителей. Чем больше открытых спецификаций использовано при разработке системы, тем более открытой она является.

Модель OSI касается только одного аспекта открытости, а именно открытости средств взаимодействия устройств, связанных в вычислительную сеть. Здесь под открытой системой понимается сетевое устройство, готовое взаимодействовать с другими сетевыми устройствами с использованием стандартных правил, определяющих формат, содержание и значение принимаемых и отправляемых сообщений.

Если две сети построены с соблюдением принципов открытости, то это дает следующие преимущества:

  • возможность построения сети из аппаратных и программных средств различных производителей, придерживающихся одного и того же стандарта;

  • возможность безболезненной замены отдельных компонентов сети другими, более совершенными, что позволяет сети развиваться с минимальными затратами;

  • возможность легкого сопряжения одной сети с другой;

  • простота освоения и обслуживания сети.

Ярким примером открытой системы является международная сеть Internet. Эта сеть развивалась в полном соответствии с требованиями, предъявляемыми к открытым системам. В разработке ее стандартов принимали участие тысячи специалистов-пользователей этой сети из различных университетов, научных организаций и фирм-производителей вычислительной аппаратуры и программного обеспечения, работающих в разных странах. Само название стандартов, определяющих работу сети Internet - Request For Comments (RFC), что можно перевести как «запрос на комментарии», - показывает гласный и открытый характер принимаемых стандартов. В результате сеть Internet сумела объединить в себе самое разнообразное оборудование и программное обеспечение огромного числа сетей, разбросанных по всему миру.

1.3.5. Модульность и стандартизация

Модульность - это одно из неотъемлемых и естественных свойств вычислительных сетей. Модульность проявляется не только в многоуровневом представлении коммуникационных протоколов в конечных узлах сети, хотя это, безусловно, важная и принципиальная особенность сетевой архитектуры. Сеть состоит из огромного числа различных модулей - компьютеров, сетевых адаптеров, мостов, маршрутизаторов, модемов, операционных систем и модулей приложений. Разнообразные требования, предъявляемые предприятиями к компьютерным сетям, привели к такому же разнообразию выпускаемых для построения сети устройств и программ. Эти продукты отличаются не только основными функциями (имеются в виду функции, выполняемые, например, повторителями, мостами или программными редиректорами), но и многочисленными вспомогательными функциями, предоставляющими пользователям или администраторам дополнительные удобства, такие как автоматизированное конфигурирование параметров устройства, автоматическое обнаружение и устранение некоторых неисправностей, возможность программного изменения связей в сети и т. п. Разнообразие увеличивается также потому, что многие устройства и программы отличаются сочетаниями тех или иных основных и дополнительных функций - существуют, например, устройства, сочетающие основные возможности коммутаторов и маршрутизаторов, к которым добавляется еще и набор некоторых дополнительных функций, характерный только для данного продукта.

В результате не существует компании, которая смогла бы обеспечить производство полного набора всех типов и подтипов оборудования и программного обеспечения, требуемого для построения сети. Но, так как все компоненты сети должны работать согласованно, совершенно необходимым оказалось принятие многочисленных стандартов, которые, если не во всех, то хотя бы в большинстве случаев, гарантировали бы совместимость оборудования и программ различных фирм-изготовителей. Таким образом, понятия модульности и стандартизации в сетях неразрывно связаны, и модульный подход только тогда дает преимущества, когда он сопровождается следованием стандартам.

В результате открытый характер стандартов и спецификаций важен не только для коммуникационных протоколов, но и для всех многочисленных функций разнообразных устройств и программ, выпускаемых для построения сети. Нужно отметить, что большинство стандартов, принимаемых сегодня, носят открытый характер. Время закрытых систем, точные спецификации на которые были известны только фирме-производителю, ушло. Все осознали, что возможность легкого взаимодействия с продуктами конкурентов не снижает, а наоборот, повышает ценность изделия, так как его можно применить в большем количестве работающих сетей, построенных на продуктах разных производителей. Поэтому даже фирмы, ранее выпускавшие весьма закрытые системы - такие как IBM, Novell или Microsoft, - сегодня активно участвуют в разработке открытых стандартов и применяют их в своих продуктах.

Сегодня в секторе сетевого оборудования и программ с совместимостью продуктов разных производителей сложилась следующая ситуация. Практически все продукты, как программные, так и аппаратные, совместимы по функциям и свойствам, которые были внедрены в практику уже достаточно давно и стандарты на которые уже разработаны и приняты по крайней мере 3-4 года назад. В то же время очень часто принципиально новые устройства, протоколы и свойства оказываются несовместимыми даже у ведущих производителей. Такая ситуация наблюдается не только для тех устройств или функций, стандарты на которые еще не успели принять (это естественно), но и для устройств, стандарты на которые существуют уже несколько лет. Совместимость достигается только после того, как все производители реализуют этот стандарт в своих изделиях, причем одинаковым образом.

1.3.6. Источники стандартов

Работы по стандартизации вычислительных сетей ведутся большим количеством организаций. В зависимости от статуса организаций различают следующие виды стандартов:

  • стандарты отдельных фирм (например, стек протоколов DECnet фирмы Digital Equipment или графический интерфейс OPEN LOOK для Unix-систем фирмы Sun);

  • стандарты специальных комитетов и объединений, создаваемых несколькими фирмами, например стандарты технологии АТМ, разрабатываемые специально созданным объединением АТМ Forum, насчитывающем около 100 коллективных участников, или стандарты союза Fast Ethernet Alliance по разработке стандартов 100 Мбит Ethernet;

  • национальные стандарты, например, стандарт FDDI, представляющий один из многочисленных стандартов, разработанных Американским национальным институтом стандартов (ANSI), или стандарты безопасности для операционных систем, разработанные Национальным центром компьютерной безопасности (NCSC) Министерства обороны США;

  • международные стандарты, например, модель и стек коммуникационных протоколов Международной организации по стандартам (ISO), многочисленные стандарты Международного союза электросвязи (ITU), в том числе стандарты на сети с коммутацией пакетов Х.25, сети frame relay, ISDN, модемы и многие другие.

Некоторые стандарты, непрерывно развиваясь, могут переходить из одной категории в другую. В частности, фирменные стандарты на продукцию, получившую широкое распространение, обычно становятся международными стандартами де-факто, так как вынуждают производителей из разных стран следовать фирменным стандартам, чтобы обеспечить совместимость своих изделий с этими популярными продуктами. Например, из-за феноменального успеха персонального компьютера компании IBM фирменный стандарт на архитектуру IBM PC стал международным стандартом де-факто.

Более того, ввиду широкого распространения некоторые фирменные стандарты становятся основой для национальных и международных стандартов де-юре. Например, стандарт Ethernet, первоначально разработанный компаниями Digital Equipment, Intel и Xerox, через некоторое время и в несколько измененном виде был принят как национальный стандарт IEEE 802.3, а затем организация ISO утвердила его в качестве международного стандарта ISO 8802.3.

Далее приводятся краткие сведения об организациях, наиболее активно и успешно занимающихся разработкой стандартов в области вычислительных сетей.

  • Международная организация по стандартизации (International Organization/or Standardization, ISO, часто называемая также International Standards Organization) представляет собой ассоциацию ведущих национальных организаций по стандартизации разных стран. Главным достижением ISO явилась модель взаимодействия открытых систем OSI, которая в настоящее время является концептуальной основой стандартизации в области вычислительных сетей. В соответствии с моделью OSI этой организацией был разработан стандартный стек коммуникационных протоколов OSI.

  • Международный союз электросвязи (International Telecommunications Union, JTU) - организация, являющаяся в настоящее время специализированным органом Организации Объединенных Наций. Наиболее значительную роль в стандартизации вычислительных сетей играет постоянно действующий в рамках этой организации Международный консультативный комитет по телефонии и телеграфии (МККТТ) (Consultative Committee on International Telegraphy and Telephony, CCITT). В результате проведенной в 1993 году реорганизации ITU CCITT несколько изменил направление своей деятельности и сменил название - теперь он называется сектором телекоммуникационной стандартизации ITU (ITU Telecommunication Standardization Sector, ITU-T), Основу деятельности ITU-T составляет разработка международных стандартов в области телефонии, телематических служб (электронной почты, факсимильной связи, телетекста, телекса и т. д.), передачи данных, аудио- и видеосигналов. За годы своей деятельности ITU-T выпустил огромное число рекомендаций-стандартов. Свою работу ITU-T строит на изучении опыта сторонних организаций, а также на результатах собственных исследований. Раз в четыре года издаются труды ITU-T в виде так называемой «Книги», которая на самом деле представляет собой целый набор обычных книг, сгруппированных в выпуски, которые, в свою очередь, объединяются в тома. Каждый том и выпуск содержат логически взаимосвязанные рекомендации. Например, том III Синей Книги содержит рекомендации для цифровых сетей с интеграцией услуг (ISDN), а весь том VIII (за исключением выпуска VIII. 1, который содержит рекомендации серии V для передачи данных по телефонной сети) посвящен рекомендациям серии X: Х.25 для сетей с коммутацией пакетов, Х.400 для систем электронной почты, Х.500 для глобальной справочной службы и многим другим.

  • Институт инженеров по электротехнике и радиоэлектронике - Institute of Electrical and Electronics Engineers, IEEE) - национальная организация США, определяющая сетевые стандарты. В 1981 году рабочая группа 802 этого института сформулировала основные требования, которым должны удовлетворять локальные вычислительные сети. Группа 802 определила множество стандартов, из них самыми известными являются стандарты 802.1,802.2,802.3 и 802.5, которые описывают общие понятия, используемые в области локальных сетей, а также стандарты на два нижних уровня сетей Ethernet и Token Ring.

  • Европейская ассоциация производителей компьютеров (European Computer Manufacturers Association, ЕСМА) - некоммерческая организация, активно сотрудничающая с ITU-T и ISO, занимается разработкой стандартов и технических обзоров, относящихся к компьютерной и коммуникационной технологиям. Известна своим стандартом ЕСМА-101, используемым при передаче отформатированного текста и графических изображений с сохранением оригинального формата.

  • Ассоциация производителей компьютеров и оргтехники (Computer and Business Equipment Manufacturers Association, CBEMA) - организация американских фирм-производителей аппаратного обеспечения; аналогична европейской ассоциации ЕКМА; участвует в разработке стандартов на обработку информации и соответствующее оборудование.

  • Ассоциация электронной промышленности (Electronic Industries Association, EIA) - промышленно-торговая группа производителей электронного и сетевого оборудования; является национальной коммерческой ассоциацией США; проявляет значительную активность в разработке стандартов для проводов, коннекторов и других сетевых компонентов. Ее наиболее известный стандарт - RS-232C.

  • Министерство обороны США (Department of Defense, DoD) имеет многочисленные подразделения, занимающиеся созданием стандартов для компьютерных систем. Одной из самых известных разработок DoD является стек транспортных протоколов TCP/IP.

  • Американский национальный институт стандартов (American National Standards Institute, ANSI) - эта организация представляет США в Международной организации по стандартизации ISO. Комитеты ANSI ведут работу по разработке стандартов в различных областях вычислительной техники. Так, комитет ANSI ХЗТ9.5 совместно с фирмой IBM занимается стандартизацией локальных сетей крупных ЭВМ (архитектура сетей SNA). Известный стандарт FDDI также является результатом деятельности этого комитета ANSI. В области микрокомпьютеров ANSI разрабатывает стандарты на языки программирования, интерфейс SCSI. ANSI разработал рекомендации по переносимости для языков С, FORTRAN, COBOL.

Особую роль в выработке международных открытых стандартов играют стандарты Internet. Ввиду большой и постоянной растущей популярности Internet, эти стандарты становятся международными стандартами «де-факто», многие из которых затем приобретают статус официальных международных стандартов за счет их утверждения одной из вышеперечисленных организаций, в том числе ISO и ITU-T. Существует несколько организационных подразделений, отвечающих за развитие Internet и, в частности, за стандартизацию средств Internet.

Основным из них является Internet Society (ISOC) - профессиональное сообщество, которое занимается общими вопросами эволюции и роста Internet как глобальной коммуникационной инфраструктуры. Под управлением ISOC работает Internet Architecture Board (IAB) - организация, в ведении которой находится технический контроль и координация работ для Internet. IAB координирует направление исследований и новых разработок для стека TCP/IP и является конечной инстанцией при определении новых стандартов Internet.

В IAB входят две основные группы: Internet Engineering Task Force (IETF) и Internet Research Task Force (IRTF). IETF - это инженерная группа, которая занимается решением ближайших технических проблем Internet. Именно IETF определяет спецификации, которые затем становятся стандартами Internet. В свою очередь, IRTF координирует долгосрочные исследовательские проекты по протоколам TCP/IP.

В любой организации, занимающейся стандартизацией, процесс выработки и принятия стандарта состоит из ряда обязательных этапов, которые, собственно, и составляют процедуру стандартизации. Рассмотрим эту процедуру на примере разработки стандартов Internet.

  • Сначала в IETF представляется так называемый рабочий проект (draft) в виде, доступном для комментариев. Он публикуется в Internet, после чего широкий круг заинтересованных лиц включается в обсуждение этого документа, в него вносятся исправления, и наконец наступает момент, когда можно зафиксировать содержание документа. На этом этапе проекту присваивается номер RFC (возможен и другой вариант развития событий - после обсуждения рабочий проект отвергается и удаляется из Internet).

  • После присвоения номера проект приобретает статус предлагаемого стандарта. В течение 6 месяцев этот предлагаемый стандарт проходит проверку практикой, в результате в него вносятся изменения.

  • Если результаты практических исследований показывают эффективность предлагаемого стандарта,то ему, со всеми внесенными изменениями, присваивается статус проекта стандарта. Затем в течение не менее 4-х месяцев проходят его дальнейшие испытания «на прочность», в число которых входит создание по крайней мере двух программных реализации.

  • Если во время пребывания в ранге проекта стандарта в документ не было внесено никаких исправлений, то ему может быть присвоен статус официального стандарта Internet. Список утвержденных официальных стандартов Internet публикуется в виде документа RFC и доступен в Internet. Следует заметить, что все стандарты Internet носят название RFC с соответствующим порядковым номером, но далеко не все RFC являются стандартами Internet - часто эти документы представляют собой комментарии к какому-либо стандарту или просто описания некоторой проблемы Internet.

1.3.7. Стандартные стеки коммуникационных протоколов

Важнейшим направлением стандартизации в области вычислительных сетей является стандартизация коммуникационных протоколов. В настоящее время в сетях используется большое количество стеков коммуникационных протоколов. Наиболее популярными являются стеки: TCP/IP, IPX/SPX, NetBIOS/SMB, DECnet, SNA и OSI. Все эти стеки, кроме SNA на нижних уровнях - физическом и канальном, - используют одни и те же хорошо стандартизованные протоколы Ethernet, Token Ring, FDDI и некоторые другие, которые позволяют использовать во всех сетях одну и ту же аппаратуру. Зато на верхних уровнях все стеки работают по своим собственным протоколам. Эти протоколы часто не соответствуют рекомендуемому моделью OSI разбиению на уровни. В частности, функции сеансового и представительного уровня, как правило, объединены с прикладным уровнем. Такое несоответствие связано с тем, что модель OSI появилась как результат обобщения уже существующих и реально используемых стеков, а не наоборот.

Стек OSI

Следует четко различать модель OSI и стек OSI. В то время как модель OSI является концептуальной схемой взаимодействия открытых систем, стек OSI представляет собой набор вполне конкретных спецификаций протоколов. В отличие от других стеков протоколов стек OSI полностью соответствует модели OSI, он включает спецификации протоколов для всех семи уровней взаимодействия, определенных в этой модели. На нижних уровнях стек OSI поддерживает Ethernet, Token Ring, FDDI, протоколы глобальных сетей, Х.25 и ISDN, - то есть использует разработанные вне стека протоколы нижних уровней, как и все другие стеки. Протоколы сетевого, транспортного и сеансового уровней стека OSI специфицированы и реализованы различными производителями, но распространены пока мало. Наиболее популярными протоколами стека OSI являются прикладные протоколы. К ним относятся: протокол передачи файлов FTAM, протокол эмуляции терминала VTP, протоколы справочной службы Х.500, электронной почты Х.400 и ряд других.

Протоколы стека OSI отличает большая сложность и неоднозначность спецификаций. Эти свойства явились результатом общей политики разработчиков стека, стремившихся учесть в своих протоколах все случаи жизни и все существующие и появляющиеся технологии. К этому нужно еще добавить и последствия большого количества политических компромиссов, неизбежных при принятии международных стандартов по такому злободневному вопросу, как построение открытых вычислительных сетей.

Из-за своей сложности протоколы OSI требуют больших затрат вычислительной мощности центрального процессора, что делает их наиболее подходящими для мощных машин, а не для сетей персональных компьютеров.

Стек OSI - международный, независимый от производителей стандарт. Его поддерживает правительство США в своей программе GOSIP, в соответствии с которой все компьютерные сети, устанавливаемые в правительственных учреждениях США после 1990 года, должны или непосредственно поддерживать стек OSI, или обеспечивать средства для перехода на этот стек в будущем. Тем не менее стек OSI более популярен в Европе, чем в США, так как в Европе осталось меньше старых сетей, работающих по своим собственным протоколам. Большинство организаций пока только планируют переход к стеку OSI, и очень немногие приступили к созданию пилотных проектов. Из тех, кто работает в этом направлении, можно назвать Военно-морское ведомство США и сеть NFSNET. Одним из крупнейших производителей, поддерживающих OSI, является компания AT&T, ее сеть Stargroup полностью базируется на этом стеке.

Стек TCP/IP

Стек TCP/IP был разработан по инициативе Министерства обороны США более 20 лет назад для связи экспериментальной сети ARPAnet с другими сетями как набор общих протоколов для разнородной вычислительной среды. Большой вклад в развитие стека TCP/IP, который получил свое название по популярным протоколам IP и TCP, внес университет Беркли, реализовав протоколы стека в своей версии ОС UNIX. Популярность этой операционной системы привела к широкому распространению протоколов TCP, IP и других протоколов стека. Сегодня этот стек используется для связи компьютеров всемирной информационной сети Internet, а также в огромном числе корпоративных сетей.

Стек TCP/IP на нижнем уровне поддерживает все популярные стандарты физического и канального уровней: для локальных сетей - это Ethernet, Token Ring, FDDI, для глобальных - протоколы работы на аналоговых коммутируемых и выделенных линиях SLIP, РРР, протоколы территориальных сетей Х.25 и ISDN.

Основными протоколами стека, давшими ему название, являются протоколы IP и TCP. Эти протоколы в терминологии модели OSI относятся к сетевому и транспортному уровням соответственно. IP обеспечивает продвижение пакета по составной сети, a TCP гарантирует надежность его доставки.

За долгие годы использования в сетях различных стран и организаций стек TCP/IP вобрал в себя большое количество протоколов прикладного уровня. К ним относятся такие популярные протоколы, как протокол пересылки файлов FTP, протокол эмуляции терминала telnet, почтовый протокол SMTP, используемый в электронной почте сети Internet, гипертекстовые сервисы службы WWW и многие другие.

Сегодня стек TCP/IP представляет собой один из самых распространенных стеков транспортных протоколов вычислительных сетей. Действительно, только в сети Internet объединено около 10 миллионов компьютеров по всему миру, которые взаимодействуют друг с другом с помощью стека протоколов TCP/IP.

Стремительный рост популярности Internet привел и к изменениям в расстановке сил в мире коммуникационных протоколов - протоколы TCP/IP, на которых построен Internet, стали быстро теснить бесспорного лидера прошлых лет - стек IPX/SPX компании Novell. Сегодня в мире общее количество компьютеров, на которых установлен стек TCP/IP, сравнялось с общим количеством компьютеров, на которых работает стек IPX/SPX, и это говорит о резком переломе в отношении администраторов локальных сетей к протоколам, используемым на настольных компьютерах, так как именно они составляют подавляющее число мирового компьютерного парка и именно на них раньше почти везде работали протоколы компании Novell, необходимые для доступа к файловым серверам NetWare. Процесс становления стека TCP/IP в качестве стека номер один в любых типах сетей продолжается, и сейчас любая промышленная операционная система обязательно включает программную реализацию этого стека в своем комплекте поставки.

Хотя протоколы TCP/IP неразрывно связаны с Internet и каждый из многомиллионной армады компьютеров Internet работает на основе этого стека, существует большое количество локальных, корпоративных и территориальных сетей, непосредственно не являющихся частями Internet, в которых также используют протоколы ТСРДР. Чтобы отличать их от Internet, эти сети называют сетями TCP/IP или просто IP-сетями.

Поскольку стек TCP/IP изначально создавался для глобальной сети Internet, он имеет много особенностей, дающих ему преимущество перед другими протоколами, когда речь заходит о построении сетей, включающих глобальные связи. В частности, очень полезным свойством, делающим возможным применение этого протокола в больших сетях, является его способность фрагментировать пакеты. Действительно, большая составная сеть часто состоит из сетей, построенных на совершенно разных принципах. В каждой из этих сетей может быть установлена собственная величина максимальной длины единицы передаваемых данных (кадра). В таком случае при переходе из одной сети, имеющей большую максимальную длину, в сеть с меньшей максимальной длиной может возникнуть необходимость деления передаваемого кадра на несколько частей. Протокол IP стека TCP/IP эффективно решает эту задачу.

Другой особенностью технологии TCP/IP является гибкая система адресации, позволяющая более просто по сравнению с другими протоколами аналогичного назначения включать в интерсеть сети других технологий. Это свойство также способствует применению стека TCP/IP для построения больших гетерогенных сетей.

В стеке TCP/IP очень экономно используются возможности широковещательных рассылок. Это свойство совершенно необходимо при работе на медленных каналах связи, характерных для территориальных сетей.

Однако, как и всегда, за получаемые преимущества надо платить, и платой здесь оказываются высокие требования к ресурсам и сложность администрирования IP-сетей. Мощные функциональные возможности протоколов стека TCP/IP требуют для своей реализации высоких вычислительных затрат. Гибкая система адресации и отказ от широковещательных рассылок приводят к наличию в IP-сети различных централизованных служб типа DNS, DHCP и т. п. Каждая из этих служб направлена на облегчение администрирования сети, в том числе и на облегчение конфигурирования оборудования, но в то же время сама требует пристального внимания со стороны администраторов.

Можно приводить и другие доводы за и против стека протоколов Internet, однако факт остается фактом - сегодня это самый популярный стек протоколов, широко используемый как в глобальных, так и локальных сетях.

Стек IPX/SPX

Этот стек является оригинальным стеком протоколов фирмы Novell, разработанным для сетевой операционной системы NetWare еще в начале 80-х годов. Протоколы сетевого и сеансового уровней Internetwork Packet Exchange (IPX) и Sequenced Packet Exchange (SPX), которые дали название стеку, являются прямой адаптацией протоколов XNS фирмы Xerox, распространенных в гораздо меньшей степени, чем стек IPX/SPX. Популярность стека IPX/SPX непосредственно связана с операционной системой Novell NetWare, которая еще сохраняет мировое лидерство по числу установленных систем, хотя в последнее время ее популярность несколько снизилась и по темпам роста она отстает от Microsoft Windows NT.

Многие особенности стека IPX/SPX обусловлены ориентацией ранних версий ОС NetWare (до версии 4.0) на работу в локальных сетях небольших размеров, состоящих из персональных компьютеров со скромными ресурсами. Понятно, что для таких компьютеров компании Novell нужны были протоколы, на реализацию которых требовалось бы минимальное количество оперативной памяти (ограниченной в IBM-совместимых компьютерах под управлением MS-DOS объемом 640 Кбайт) и которые бы быстро работали на процессорах небольшой вычислительной мощности. В результате протоколы стека IPX/SPX до недавнего времени хорошо работали в локальных сетях и не очень - в больших корпоративных сетях, так как они слишком перегружали медленные глобальные связи широковещательными пакетами, которые интенсивно используются несколькими протоколами этого стека (например, для установления связи между клиентами и серверами). Это обстоятельство, а также тот факт, что стек IPX/SPX является собственностью фирмы Novell и на его реализацию нужно получать лицензию (то есть открытые спецификации не поддерживались), долгое время ограничивали распространенность его только сетями NetWare. Однако с момента выпуска версии NetWare 4.0 Novell внесла и продолжает вносить в свои протоколы серьезные изменения, направленные на их адаптацию для работы в корпоративных сетях. Сейчас стек IPX/ SPX реализован не только в NetWare, но и в нескольких других популярных сетевых ОС, например SCO UNIX, Sun Solaris, Microsoft Windows NT.

Стек NetBIOS/SMB

Этот стек широко используется в продуктах компаний IBM и Microsoft. На физическом и канальном уровнях этого стека используются все наиболее распространенные протоколы Ethernet, Token Ring, FDDI и другие. На верхних уровнях работают протоколы NetBEUI и SMB.

Протокол NetBIOS (Network Basic Input/Output System) появился в 1984 году как сетевое расширение стандартных функций базовой системы ввода/вывода (BIOS) IBM PC для сетевой программы PC Network фирмы IBM. В дальнейшем этот протокол был заменен так называемым протоколом расширенного пользовательского интерфейса NetBEUI - NetBIOS Extended User Interface. Для обеспечения совместимости приложений в качестве интерфейса к протоколу NetBEUI был сохранен интерфейс NetBIOS. Протокол NetBEUI разрабатывался как эффективный протокол, потребляющий немного ресурсов и предназначенный для сетей, насчитывающих не более 200 рабочих станций. Этот протокол содержит много полезных сетевых функций, которые можно отнести к сетевому, транспортному и сеансовому уровням модели OSI, однако с его помощью невозможна маршрутизация пакетов. Это ограничивает применение протокола NetBEUI локальными сетями, не разделенными на подсети, и делает невозможным его использование в составных сетях. Некоторые ограничения NetBEUI снимаются реализацией этого протокола NBF (NetBEUI Frame), которая включена в операционную систему Microsoft Windows NT.

Протокол SMB (Server Message Block) выполняет функции сеансового, представительного и прикладного уровней. На основе SMB реализуется файловая служба, а также службы печати и передачи сообщений между приложениями.

Стеки протоколов SNA фирмы IBM, DECnet корпорации Digital Equipment и AppleTalk/AFP фирмы Apple применяются в основном в операционных системах и сетевом оборудовании этих фирм.

На рис. 1.30 показано соответствие некоторых, наиболее популярных протоколов уровням модели OSI. Часто это соответствие весьма условно, так как модель OSI - это только руководство к действию, причем достаточно общее, а конкретные протоколы разрабатывались для решения специфических задач, причем многие из них появились до разработки модели OSI. В большинстве случаев разработчики стеков отдавали предпочтение скорости работы сети в ущерб модульности - ни один стек, кроме стека OSI, не разбит на семь уровней. Чаще всего в стеке явно выделяются 3-4 уровня: уровень сетевых адаптеров, в котором реализуются протоколы физического и канального уровней, сетевой уровень, транспортный уровень и уровень служб, вбирающий в себя функции сеансового, представительного и прикладного уровней.

Рис. 1.30. Соответствие популярных стеков протоколов модели OSI

Выводы

  • В компьютерных сетях идеологической основой стандартизации является многоуровневый подход к разработке средств сетевого взаимодействия.

  • Формализованные правила, определяющие последовательность и формат сообщений, которыми обмениваются сетевые компоненты, лежащие на одном уровне, но в разных узлах, называются протоколом.

  • Формализованные правила, определяющие взаимодействие сетевых компонентов соседних уровней одного узла, называются интерфейсом. Интерфейс определяет набор сервисов, предоставляемый данным уровнем соседнему уровню.

  • Иерархически организованный набор протоколов, достаточный для организации взаимодействия узлов в сети, называется стеком коммуникационных протоколов.

  • Открытой системой может быть названа любая система, которая построена в соответствии с общедоступными спецификациями, соответствующими стандартам и принятыми в результате публичного обсуждения всеми заинтересованными сторонами.

  • Модель OSI стандартизует взаимодействие открытых систем. Она определяет 7 уровней взаимодействия: прикладной, представительный, сеансовый, транспортный, сетевой, канальный и физический.

  • Важнейшим направлением стандартизации в области вычислительных сетей является стандартизация коммуникационных протоколов. Наиболее популярными являются стеки: TCP/IP, IPX/SPX, NetBIOS/SMB, DECnet, SNA и OSI.
Назад | Содержание | Вперед